

色差儀積分球的作用及積分球測色原理
積分球是積分球色差儀的一個重要的部件,這類儀器使用積分球使光線在球內經過多次反射后形成均勻的漫射光,照射到被測樣品表面,使樣品表面受光均勻,消除樣品表面對測量結果的影響。本文對色差儀積分球的作用及積分球測色原理做了介紹。
色差儀積分球的作用:
色差儀的積分球發出光的作用是將來自被測物體表面的所有可見光都集中在一個小圓球上,然后通過狹縫將這些光傳到積分球中心。此時,透過狹縫看到的是積分球內部的光斑。由于積分球內部具有很多顆粒,因此可以將各個波長的光分開。
積分球是一個容器,用來吸收反射光線。當反射光線穿過積分球時,它會被吸收并傳遞到儀器內部的光學元件上。這些元件將光信號轉化為電信號,然后將它們輸出到顯示器上。通過測量電信號的大小,我們就能得到顏色的數值。
使用積分球的目的是使進入它內部的光,經內壁漫反射層多次反射后,在整個內壁面上得到均勻的照度,并且該照度較入射光通量除以球內壁面積的照度值大得多(可提高性噪比)。在顏色測量儀器中,積分球具有以下兩方面功能:
1.光接收器
被測光經積分球上的小孔進入球內,在內壁上設置一個或多個探測器。由光探測器輸出的光電流與積分球內壁的光照度成正比,也就是與進入積分球的光通量成正比。這樣,就可以根據輸出光電流的變化,得知進入積分球的光通量變化。
2.均勻照亮的物面
在積分球內壁上與出光孔對稱且均勻地放置幾個燈泡(通常有四個或六個)。由燈泡發出的光經內壁多次漫反射而形成一個均勻照亮的發光球面,用它可作為被測光學系統的、亮度均勻的、大視場的物面(光學系統入瞳與出光孔基本重合)。該積分球用于照相物鏡的漸暈系數和像面照度均勻性的測量。
色差儀積分球測色原理:
積分球是一個內壁涂有白色漫反射材料(漫反射系數接近于1,常用的是氧化鎂或硫酸鋇)的空腔球體,內壁是良好的球面(要求與理想球面的偏差應不大于內徑的0.2%)。氧化鎂涂層在可見光譜范圍內的光譜反射比都在99%以上,這樣,進入積分球的光經過內壁涂層多次反射,在內壁上形成均勻照度。當積分球用于顏色測量儀器時,球體會有多個開孔,結構示意圖如下圖。具體包括光孔,用于光源進入球體;測量孔,與被測物體緊密接觸;接收器孔,在測量孔對面,一般與被測樣品表面的法線呈8°夾角,用于采集物體的反射光;鏡面反射孔,位于與接收器孔相對于法線對稱的地方,這個孔可以關閉和打開,并放置光吸收阱,用來控制鏡面反射光的采集(SPIN,Specular Included)與排除(SPEX,Specular Excluded)。
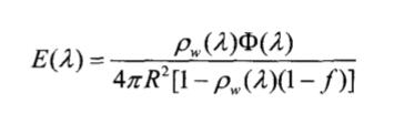
當一束輻通量為Φ(λ)的光源經光孔進入內球半徑為R的積分球內,經涂層多次漫反射后,形成均勻照明。設除投射面外,其余內壁任一點M處的總照度E(λ)可用下表示:
式中:E(λ)為M點的總光譜幅照度;ρw(λ)為積分球內壁的光譜反射比;Φ(λ)為進入進入積分球的光譜輻通量;R為積分球內球半徑;f為積分球開口球面面積與積分球總的內反射表面積之比。
式中,當一束輻通量進入理想積分球后,除投射面外,球內表面任意點的照度(包括球壁開口處球面上的照度)只是球的幾何尺寸、涂層的漫反射比、進入球的輻通量的函數,而與位置無關。在顏色測量中,樣品表面的物理狀況會影響光的傳播,當表面比較光滑時,樣品光澤較高,鏡面反射光會比較強,散射會比較弱;當表面比較粗糙時,樣品光澤較低,鏡面反射光會比較弱,散射會比較強。對于相同材質的樣品,若只是光澤差異,在包含鏡面反射狀態下測量結果應該是一致的,這時其反映的是材質本身的顏色,稱之為真實色;但在排除鏡面反射狀態下,樣品間的差異會比較大,數據反映的是材質和表面物理狀況的綜合變化,稱之為表觀色。因此,積分球儀器在涂料行業,以及紡織、塑料、紙張等行業被廣泛應用。