

測色色差計的組成及測色色差計的工作原理
測色色差計是顏色測量中比較常用的儀器,這類儀器可以對顏色進行量化,克服人眼測色的主觀性與局限性,以具體的數字顯示顏色信息及顏色差異,對顏色進行定量的分析。本文對測色色差計的組成及測色色差計的工作原理做了介紹。
測色色差計的組成:
測色色差計是由照明、探測和數據處理3部分組成。照明系統是由光源和光學系統組成,光源選用發光效率較高而且光通量穩定的鹵鎢燈,光學系統是由透鏡和隔熱玻璃組成;光源發出的光經過凸透鏡后變成平行光,它經隔熱玻璃濾掉紅外和紫外部分后作為載波作用于被測對象。探測系統是由光學變換和光電轉換兩部分組成,光學變換是通過光接收器一一積分球、擋板、濾色片實現的;經光學變換后的光載波中含有被測對象的信息,稱為光信號。光信號被光電探測器接收,并轉換成易于處理的電信號。數據處理系統包括放大電路、A/D轉換、中央處理器、顯示、打印等數據輸出。
測色色差計的工作原理:
測量物體的顏色就是求出物體顏色三刺激值的過程。目前主要有兩類測量方法:分光光度法和三刺激值法。前者測量準確度高,但系統構成復雜,操作復雜,成本高,適用于要求較高的測色與配色場合;光電積分測色儀器是三刺激值讀法測色儀,光電積分器件的光譜靈敏度應滿足標準色度系統的色匹配函數,能直接測量物體的三刺激值。計算出物體色三刺激值之后,還要進行神經網絡非線性校正,這樣就可以得到顯示的三刺激值。
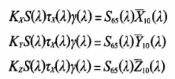
光電積分式儀器總的光學條件應符合盧瑟條件。在D65光源10°視場下的盧瑟條件:
式中:
Kx、Ky、Kz為與波長無關的常數;S(λ)為儀器所用的標準光源光譜功率分布;τx(λ)、τy(λ)、τz(λ)為儀器特定濾色器的光譜透過率;γ(λ)為儀器探測器的相對光譜響應度;S65(λ)為標準照明體D的相對光譜功率分布;X10(λ)、Y10(λ)、Z10(λ)為10°視場補充標準色度觀察者光譜三刺激值。