

色差儀△E值什么意思?△E值計算公式有哪些?
色差儀是顏色測量與量化的重要工具,它不僅可以給出樣品顏色的信息,還可以給出樣品與標樣比色后的顏色差異值,△E值是色差儀給出的常見的顏色差異值。那么,色差儀△E值什么意思?△E值計算公式有哪些?本文對此做了詳細的介紹。
色差儀△E值的含義:
在顏色測量過程中,采用數據來表達物體色的性質后,在很多情況下還會涉及到兩個及兩個以上物體色的比較。在適當的照明和觀測條件下,如果兩個樣品具有相同的三刺激值,對于適當的觀察者來說它們是一種理想的匹配;若三刺激值不盡相同則它們不匹配,并且整個差異將近似于它們之間能感覺出的顏色差異。
色差用△E表示,△表示差異,E是德語單詞Empfindung的第一個字母,含義是感覺。色差的單位是NBS,它是美國國家標準局(National Bureau of Standards)制定的,現為各國普遍采用。當△E=1時稱為1個NBS色差單位,1NBS色差單位大約相當于在最優試驗條件下人眼所能感覺到的最小色差的5倍。在CIE色度圖中,1NBS色差單位相當于 0.0015~0.0025x或y的色度坐標變化。在孟塞爾色系中,一個孟塞爾明度單位等于10個NBS色差單位,1個孟塞爾飽和度單位等于7個NBS色差單位。下表表示NBS單位及在色差視覺上的顯著程度。
色差儀△E值計算公式類型:
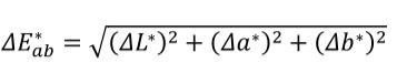
1.ΔE*ab色差公式
ΔE*ab色差公式是CIELAB色差公式的簡稱,CIELAB色差公式是基于近似均勻的三維顏色空間建立的,由直角坐標L*、a*、b*構成,國際照明委員會推薦使用。該色差公式建立在CIELAB顏色空間之上,在L*a*b*公式中,L*表示明度,a*表示紅色和綠色的成分,b*表示黃色和藍色的成分。色差是指用數值的方式表示兩種顏色給人色彩感覺上的差別,若兩個顏色都是按照L*a*b*標定的,則兩者的總色差計算公式如下計算:
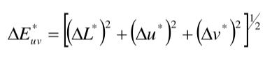
2.ΔE*uv色差公式
ΔE*uv色差公式是由CIE x-y色度圖進行線性變換推導而得。線性變換的目的是改善與目測結果對比的均勻性。CIE1976L*u*v*色差公式為:
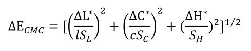
3.ΔE*cmc色差公式
ΔE*cmc色差公式是在CIELAB公式的基礎上修改推導出來的,先后被英美兩國采用作為各自的國家標準,并于1995年被ISO接受成為國際標準。色差公式如下所示:
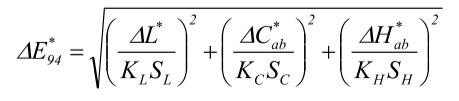
4.ΔE*94色差公式
ΔE*94色差公式是CIE于1955年推薦的一個色差公式,其全稱為“CIE1994(△L*△C*ab△H*ab)色差模型”,正式縮寫形式是CIE94,色差符號為△E*94。△E*94色差公式是CMC(1:c)色差公式的一種改良形式,其結構與ΔE*CMC(l:c)色差公式相似的公式,該公式的計算式如下所示:
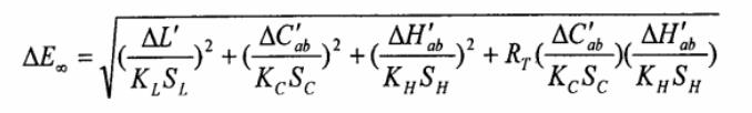
5.ΔE*00色差公式
ΔE*00色差式是CIEDE2000色差公式的簡稱,是CIE最新推薦的基于CIELAB的色差公式。為了進一步改善工業色差評價的準確性,CIE專門成立了工業色差評價的色相與明度相關修正專業委員會TC1-47,經過該委員會根據對現有色差模型和大量視覺評價數據的大量分析之后,終于在2000年推薦了該公式。其色差式如下所示:
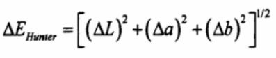
6.ΔE(Hunter)色差公式
Hunter色差公式是由亨特(Hunter)為使光電色度計讀數方便,而于1948年提出的Lab對抗色系統中計算色差的公式,大多用于陶瓷、塑料和紡織品等,一般可滿足工業生產管理的需要。在該系統中,L表示物體反射光的明度,a表示反射光中紅色與綠色的成分,b表示反射光中黃色與藍色的成分。因此,Lab系統的色差公式可表示為: