

色差儀常用均勻顏色空間類型及色差公式
為了對顏色進行定量的描述,色度學規定了多個用于顏色測量的色彩空間,但由于這些色度空間在描述顏色時與人眼之間的一致性較差,因此為了縮小這種差異,色度學規定了用于顏色檢測的均勻顏色空間。本文對色差儀常用均勻顏色空間類型及色差公式做了介紹。
CIELab均勻顏色空間及色差公式:
1.CIELab顏色空間
CIELAB顏色空間是由CIE(國際照明委員會)組織所確定的一個理論上包括了人眼可以看的見的所有色彩模式,是目前色差儀中最為常見的顏色空間,由L(明度)、a(色度)、b(色度)共同組成,其含義如下:
L(明度):表示顏色的明亮程度,取值范圍是0(絕對黑色)到100(絕對白色)。
a(紅綠軸):代表顏色在紅綠色軸上的位置。a值為正數時表示顏色偏紅,數值越大紅色的成分越明顯;a值為負數時表示顏色偏綠,絕對值越大綠色的成分越突出。在色彩分析中,a值可用于量化顏色在紅綠色調方面的特征。
b(黃藍軸):表示顏色在黃藍色軸上的位置。b值為正數時表示顏色偏黃,數值越大黃色的成分越多;b值為負數時表示顏色偏藍,絕對值越大藍色的成分越顯著。b值在描述顏色的色調和進行顏色匹配時非常關鍵。
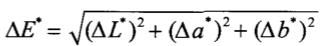
2.CIELAB色差公式
CIELAB色差公式是基于近似均勻的三維顏色空間建立的,由直角坐標L*、a*、b*構成,國際照明委員會推薦使用。該色差公式建立在CIELAB顏色空間之上的,其顏色屬性差異可以用△L*、△a*、△b*,總色差使用三維空間中兩種顏色坐標之間的歐幾里得距離表示,如下所示:
CIELch均勻顏色空間及色差公式:
1.CIELch顏色空間
色差寶中的CIELCH顏色空間是從CIELAB顏色空間衍生而來的圓柱形色彩模型,以更直觀的方式來描述顏色。該顏色空間由L、C、H表示??v坐標L*值同樣對應于顏色三要素的明度,圓心處為顏色的飽和度C*,H*為色調。具體含義如下:
L(明度):與CIELAB中的L含義相同,取值范圍為0至100。0代表黑色,100代表白色,中間值表示不同程度的灰色或帶有明度的色彩,如L=50時相當于50%的黑,它體現了顏色的明亮程度。
C(飽和度/彩度):表示顏色的純度或強度,取值范圍一般為0至181。0表示灰色,即顏色完全不飽和,沒有色彩傾向;離圓心越遠,C值越大,顏色越鮮艷、飽和,如C=181時表示顏色達到最大飽和度。
H(色調角/色相):代表顏色的具體色相,取值范圍是0°至360°。以正a軸(紅色)為0°,逆時針方向增加,正b軸(黃色)為90°,負a軸(綠色)為180°,負b軸(藍色)為270°,不同的角度對應不同的顏色。
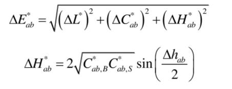
2.CIELch色差公式
CIELch色差公式是在CIELab色差公式基礎上進一步發展的,它將色度信息轉換為柱坐標形式,分別表示顏色的亮度(L)、色度(c)和色相(h)。通過將樣品色彩和標準色彩的 Lch值代入公式中,計算兩者之間的歐氏距離,得到色差值。相比于Lab色差公式,Lch色差公式更加直觀,更符合人眼對顏色的感知。其計算公式如下:
CIELuv均勻顏色空間及色差公式:
1.CIELuv顏色空間
CIELuv顏色空間與CIELab顏色空間相似,它由L(亮度)、u*(綠-紅方向的色度坐標)、v*(藍-黃方向的色度坐標)三個參數組成。三者相互垂直構成色空間來描述相對應的亮度和色度量:垂直的軸是明度L*,位于水平面且互相垂直的是色品指數u*和 v*。具體含義如下:
L(亮度):表示顏色的明亮程度,與CIELab色彩空間中的L意義類似。取值范圍從0(絕對黑色)到100(絕對白色)。
u(色度坐標):是描述顏色在紅綠藍維度上位置的一個參數。u值的正負和大小反映了顏色在該維度上的偏向和程度。u為正值時,表示顏色在該維度上偏向紅色或黃色方向的程度;u*為負值時,表示顏色偏向綠色或藍色方向的程度。
v(色度坐標):同樣是描述顏色在紅綠藍維度上位置的參數,與u共同決定顏色的色度。v值的變化反映了顏色在另一個維度上的偏向和程度,與u相互配合來完整地表達顏色的色度特性。v值為正時,顏色偏向黃色或藍色方向;v*值為負時,顏色偏向紅色或綠色方向。
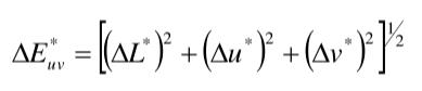
2.CIELuv色差公式
CIELuv色差公式是以LUV顏色空間為基礎建立的色差公式,它是由CIEx-y色度圖進行線性變換得到的,線性變換的目的是改善與目測結果對比的均勻性,CIELuv色差公式為:
式中,ΔL*為明度差;Δu',Δv為彩度差;△E*uv為總色差。