

色差儀CIE94(△E*94)色差公式是怎樣的?
目前,用于色差儀中的色差公式的類型有很多,比較常見色差公式有ΔE*ab、ΔE*uv、ΔE*94、ΔE*cmc(2:1)、ΔE*cmc(1:1)、ΔE*00、DINΔE99等,不同類型的色差公式,其計算式是不同的。那么,色差儀CIE94(△E*94)色差公式是怎樣的?本文對此做了介紹。
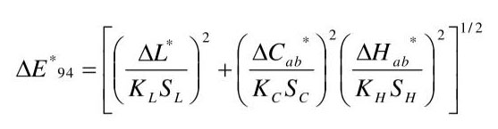
色差儀CIE94色差公式計算式:
CIE94色差公式是CIE于1955年推薦的一個色差公式,其全稱為“CIE1994(△L*△C*ab△H*ab)色差模型”,正式縮寫形式是CIE94,色差符號為△E*94。△E*94色差公式是CMC(1:c)色差公式的一種改良形式,其結構與ΔE*CMC(l:c)色差公式相似的公式,該公式的計算式如下所示:
式中ΔL*,△C*ab,△H*ab分別表示兩種顏色間的明度差、彩度差和色相差。參數因子KL,KC,KH可根據不同的評價對象和評價條件選擇不同數值,參考條件下的參數因子數值均為1。當實際的觀測條件和應用場合不同于CIE94參照條件時,需要由參數因子kL、kC、kH來調整明度、彩度和色調分色差在總色差中的相對權重。這些因子的定義,應根據相關具體實驗觀測條件和要求進行分析確定。通常對于除紡織工業以外的一般應用,推薦采用kL=kC=kH=1;對于紡織工業,則建議采用kL=2,kC=kH=1。
色差儀CIE94(△E*94)色差公式的特點:
CIE94色差公式是基于CIELAB色差公式提出的一個色差公式。CIE在推薦CIE94色差公式時,確立了一組適用于該公式的參照條件。其中,照明體是模擬D65的相對光譜功率分布;照度為1000lx;背景是明度L*=50的均勻中性灰色;觀察對象是物體色;樣品尺寸對應于視角大于4°;樣品放置時兩直邊接觸,間隔最??;樣品的色差幅度為0~5個CIELAB單位;樣品在結構上無視覺明顯圖樣,非均勻性。CIE94色差公式與CMC(l:c)色差公式結構相似,但其權重函數更加簡單。
其優點是引入了明度權重函數l和彩度權重函數c,改進了 CIELAB顏色空間的均勻性。其缺點是在a*b*平面上,計算得到的容差橢圓的△C軸全部指向原點,而目視評定結果的容差橢圓。
色差儀CIE94(△E*94)色差公式的應用:
CIE94色差公式是對CIE1976Lab色差公式的早期改進版本,計算比較簡單,已經在很多場合得到了應用,也是目前印刷行業測量儀器和應用軟件所支持的色差公式之一。在印刷包裝行業中,科研工作者和生產質檢人員已經意識到了CIE1976LAB色差公式的缺點,開始有意識地選用CIE94色差公式。一些生產檢測設備的生產廠商也順應潮流,在其生產的設備中開始集成CIE94色差公式,目前支持CIE94的儀器有很多,如:TS7036分光色差儀。但是實踐表明,這個公式的改善效果并不太理想,使用過程中還存在一定的缺陷。